24. CHUYÊN PHAN BỘI CHÂU (LẦN 1) - NGHỆ AN - [Thi thử Tốt Nghiệp THPT 2026 - Môn Hóa Học ]
2/26/2026 8:14:34 AM
lehuynhson1 ...
SỞ GD&ĐT NGHỆ AN
CHUYÊN PHAN BỘI CHÂU
(Đề thi có __ trang)
KỲ THI THỬ TỐT NGHIỆP THPT QUỐC GIA LẦN 1
NĂM HỌC 2025 – 2026
Môn thi: HÓA HỌC
Thời gian làm bài: 50 phút (không kể thời gian phát đề)
- Tải MIỄN PHÍ file word kèm ma trận và lời giải chi tiết - Liên Hệ Zalo 0915347068
Phần I: Câu trắc nghiệm nhiều phương án lựa chọn.Thí sinh trả lời từ câu 1 đến câu 18. Mỗi câu hỏi thí sinh chỉ chọn một phương án.
Câu 1: Phát biểu nào sau đây không đúng khi nói về tinh bột và cellulose?
A. Đều tạo ra từ quá trình quang hợp của cây xanh.
B. Đều được tạo từ các đơn vị α-glucose.
C. Đều thuộc loại polysaccharide.
D. Đều bị thủy phân trong môi trường acid khi đun nóng.
Câu 2: Chất nào sau đây không tạo được liên kết hydrogen giữa các phân tử của chúng với nhau?
A. H2O. B. CH3CHO. C. C2H5OH. D. HF.
Câu 3: Cơ chế phản ứng CH2=CH2 + HBr → CH3CH2Br xảy ra qua hai giai đoạn như sau:
Phát biểu nào sau đây không đúng khi nói về cơ chế của phản ứng trên?
A. Sự phân cắt liên kết H-Br là phân cắt đồng li.
B. Phản ứng xảy ra theo cơ chế cộng electrophile.
C. Ở giai đoạn 1 tạo thành carbocation.
D. Ở giai đoạn 2 có sự tạo thành liên kết σ.
Câu 4: Để phân biệt ethylamine với dimethylamine có thể dùng phản ứng với chất nào sau đây?
A. Cu(OH)2. B. FeCl3. C. HCl. D. HNO2.
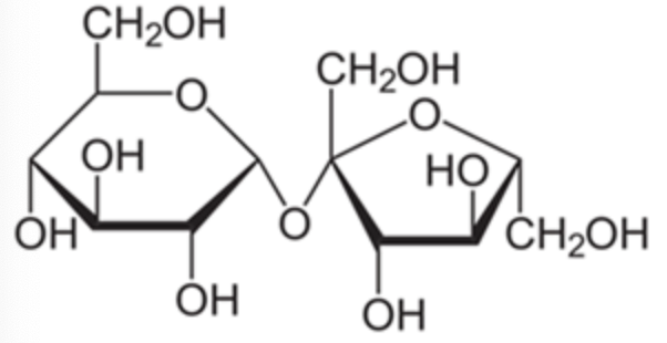
Câu 5: Hợp chất X có cấu trúc như hình sau:
Tên gọi của X là
A. tinh bột. B. cellulose. C. saccharose. D. maltose.
Câu 6: Khi hòa tan 1 viên đá vôi có khối lượng 2 gam trong 25 mL dung dịch HCl 2M ở 25°C. Nếu chỉ thay đổi một yếu tố thì yếu tố nào sau đây sẽ không làm thay đổi tốc độ phản ứng
CaCO3 + 2HCl → CaCl2 + CO2 + H2O?
A. Chuyển 2 gam đá vôi ở dạng viên sang dạng bột.
B. Thêm 25 mL nước cất vào hỗn hợp phản ứng trên.
C. Đun nóng hỗn hợp phản ứng trên lên nhiệt độ 50°C.
D. Thêm 25 mL dung dịch HCl 2M vào hỗn hợp trên.
Câu 7: Cho chất nào sau đây vào ống nghiệm chứa Cu(OH)2 trong môi trường kiềm thì tạo thành dung dịch có màu tím?
A. Dung dịch saccharose. B. Dung dịch acetaldehyde.
C. Dung dịch methylamin. D. Lòng trắng trứng.
Câu 8: Dung dịch chất nào sau đây làm phenophtalein chuyển màu hồng?
A. NaCl. B. CH3COOH. C. Na2CO3. D. AlCl3.
Câu 9: Một pin điện hóa được lắp đặt như hình bên.
Cầu muối chứa NH4Cl. Cho các phát biểu sau về pin điện hóa trên khi hoạt động:
(a) Thanh kẽm đóng vai trò là cathode còn thanh đồng đóng vai trò là anode.
(b) Khối lượng điện cực Zn giảm còn khối lượng thanh đồng tăng.
(c) Ở mạch ngoài, dòng electron di chuyển từ thanh kẽm đến thanh đồng.
(d) Phản ứng xảy ra trong pin là Zn + Cu2+ → Zn2+ + Cu.
(e) Nồng độ ZnSO4 và CuSO4 ở trong hai dung dịch không thay đổi.
Số phát biểu đúng là
A. 2. B. 3. C. 4. D. 1.
Câu 10: Muốn tiến hành mạ đồng lên một chìa khóa làm bằng sắt, một học sinh đã chuẩn bị các thiết bị và hóa chất gồm cốc thủy tinh, nguồn điện một chiều, thanh đồng, dung dịch CuSO4 và dự kiến các cách lắp đặt như sau:
(1) Thanh đồng được đấu nối với cực âm, chìa khóa được đấu nối với cực dương của nguồn điện.
(2) Thanh đồng và chìa khóa không tiếp xúc với nhau được ngâm vào dung dịch CuSO4 trong cùng một cốc.
(3) Thanh đồng được đấu nối với cực dương, chìa khóa được đấu nối với cực âm của nguồn điện.
(4) Thanh đồng và chìa khóa được ngâm vào dung dịch CuSO4 ở hai cốc khác nhau và không có cầu muối.
Cách lắp đặt đúng với mục đích thí nghiệm là
A. (1) và (2). B. (1) và (4). C. (3) và (4). D. (2) và (3).
Câu 11: Hợp chất C2H5Cl là chất được dùng để gây tê tại chỗ để giảm đau cho các chấn thương thể thao, tiểu phẫu trong y tế. Tên thay thế của C2H5Cl là
A. methyl chloride. B. chloroethane. C. ethyl chloride. D. chloromethane.
Câu 12: Khi điện phân dung dịch NaCl bằng dòng điện một chiều với điện cực trơ, có màng ngăn thì
A. H2O bị oxi hóa ở cathode. B. ion Cl- bị oxi hóa ở anode.
C. H2O bị oxi hóa ở anode. D. ion Na+ bị khử ở cathode.
Câu 13: Phân bón urea có thành phần chính là chất nào sau đây?
A. (NH2)2CO. B. (NH4)2CO3. C. Ca(H2PO4)2. D. NH4NO3.
Câu 14: Keo dán epoxy gọi là keo dán hai thành phần. Khi trộn thành phần thứ nhất là polymer mạch không nhánh có chứa hai nhóm epoxy hai đầu với thành phần thứ hai là chất đóng rắn như amine H2NCH2CH2NHCH2CH2NH2 thì sẽ xảy ra phản ứng ...(1)... tạo ra polymer mạng không gian. Nội dung phù hợp với chỗ trống (1) là
A. thủy phân. B. cắt mạch. C. trùng hợp. D. khâu mạch.
Câu 15: Đặc điểm nào sau đây không phải là điểm chung của muối dùng làm xà phòng?
A. Dung dịch của chúng hòa tan được dầu mỡ. B. Bị kết tủa trong nước cứng.
C. Có mạch carbon phân nhánh. D. Có đầu ưa nước và đuôi kị nước
Câu 16: Chất nào sau đây có khả năng hòa tan trong nước kém nhất?
A. C2H5OH. B. CH3COOC2H5. C. C3H5(OH)3. D. CH3COOH.
Câu 17: Các cặp oxi hóa – khử được sắp xếp theo chiều thế điện cực chuẩn tăng dần là Al3+/Al, Zn2+/Zn, Cu2+/Cu, Ag+/Ag. Sức điện động chuẩn của pin điện hóa nào sau đây có giá trị lớn nhất?
A. Cu-Ag. B. Al-Ag. C. Al-Cu. D. Zn-Cu.
Câu 18: Cho các chất: CaO, NH4Cl, Ca(H2PO4)2, NaCl, Ca(OH)2, (NH4)2SO4. Có bao nhiêu chất được sử dụng để khử chua đất nông nghiệp?
A. 3. B. 2. C. 1. D. 4.
PHẦN II. Câu trắc nghiệm đúng sai. Thí sinh trả lời từ câu 19 đến câu 22. Trong mỗi ý a), b), c), d) ở mỗi câu, thí sinh chọn đúng hoặc sai.
Câu 1: Học sinh tiến hành trải nghiệm điều chế xà phòng từ chất béo được tiến hành theo các bước sau:
• Bước 1: Cho 10 gam mỡ lợn và 5 mL dung dịch NaOH 40% (d = 1,43 g/cm3) vào một bát sứ.
• Bước 2: Đun nóng hỗn hợp ở nhiệt độ khoảng 65°C – 75°C đồng thời khuấy đều và thêm nước vào để hỗn hợp không bị cạn khô trong khoảng 20 phút
• Bước 3: Để nguội rồi cho toàn bộ hỗn hợp vào cốc thủy tinh chứa 20 mL dung dịch NaCl bão hòa và để yên.
a. Sau bước 3, có lớp chất rắn màu trắng nổi lên phía trên đều là muối sodium của acid béo no.
b. Khi trộn chất rắn thu được ở bước 3 với chất phụ gia (chất diệt khuẩn, chất tạo hương,...) thì sẽ thu được xà phòng.
c. Vai trò của dung dịch NaCl bão hòa ở bước 3 là để acid béo phản ứng với NaCl tạo ra xà phòng.
d. Nếu phân tử khối trung bình của chất béo trong mỡ lợn là 880 thì lượng NaOH lấy ở bước 1 không đủ để thủy phân hết chất béo trong 10 gam mỡ lợn ở trên.
Câu 2: Glucose là một monosaccharide quan trọng đối với con người và được cung cấp dưới dạng thực phẩm, dược phẩm. Một nhóm học sinh tiến hành xác định hàm lượng glucose trong một loại đường glucose y tế dựa trên phản ứng oxi hoá glucose bằng lượng dư I2 0,10 M (trong KI) sau đó chuẩn độ I2 dư với chỉ thị hồ tinh bột bằng dung dịch chuẩn là Na2S2O3 0,1 M theo các phương trình hoá học đã biết như sau:
Giả thuyết của nhóm học sinh đưa ra là: “Có thể xác định được lượng glucose trong mẫu thử thông qua thể tích đã tiêu thụ của dung dịch I2 và dung dịch Na2S2O3 theo phương trình phản ứng (1) và (2)”. Để kiểm tra giả thuyết, nhóm học sinh đã tiến hành thí nghiệm ở nhiệt độ thường như sau:
• Bước 1: Cân chính xác 2,0 gam mẫu đường y tế (dạng bột) và hoà tan vào nước, thêm nước để được 100 mL (dung dịch X).
• Bước 2: Lấy 10 mL dung dịch X vào cốc thuỷ tinh, thêm tiếp 15 mL dung dịch I2 0,10 M và kiềm hoá ngay lập tức bằng 5 mL dung dịch NaOH 1 M, khuấy đều hỗn hợp được dung dịch Y. Thêm 3 giọt hồ tinh bột và dung dịch HCl 1 M vào Y cho tới khi có môi trường acid rồi tiến hành chuẩn độ bằng dung dịch Na2S2O3 0,10 M. Thực hiện bước 2 ba lần và kết quả ở ba lần thí nghiệm được ghi ở bảng sau:
Thí nghiệm
Lần 1
Lần 2
Lần 3
Thể tích dung dịch Na2S2O3
10,1
9,9
10,0
a. Thí nghiệm trên vẫn có thể được sử dụng để xác định hàm lượng saccharose trong mẫu đường ăn không tinh khiết.
b. Ở bước 2, để phản ứng chuẩn độ xảy ra nhanh hơn và kết quả chuẩn độ chính xác hơn thì ta nên đun nóng hỗn hợp phản ứng.
c. Điểm tương đương trong phép chuẩn độ ở bước 2 được xác định dựa vào sự thay đổi màu sắc của dung dịch từ màu xanh tím sang không màu.
d. Từ kết quả thí nghiệm xác định được hàm lượng glucose trong mẫu đường y tế là 90% theo khối lượng.
Vẫn còn nội dung phía dưới, bạn hãy ấn nút để xem tiếp nhé...
Câu 3: Trong công nghiệp, nhôm được sản xuất bằng cách điện phân nóng chảy hỗn hợp aluminium oxide (Al2O3) và cryolite (Na3AlF6) trong thùng điện phân với các điện cực làm bằng than chì cho ở hình dưới đây.
a. Cryolite có vai trò làm giảm nhiệt độ nóng chảy của Al2O3 và tăng độ dẫn điện của hỗn hợp điện phân.
b. Nếu sử dụng 5,1 tấn Al2O3 với hiệu suất chuyển hóa thành Al là 80% thì lượng nhôm sinh ra sản xuất được 400 m nhôm cuộn có chiều rộng 1 m và chiều dày 2,0 mm. Biết khối lượng riêng của nhôm là 2,7 g/cm3.
c. Ở anode xảy ra quá trình 2O2- → O2 + 4e vì vậy ở anode khí thoát ra chỉ có O2.
d. Ở cathode xảy ra quá trình Al3+ + 3e → Al và nhôm được tháo ra ở phía dưới nhằm tránh tiếp xúc với oxygen.
Câu 4: Khi làm lạnh dung dịch bão hòa CuSO4 thu được chất rắn kết tinh X. Nhóm học sinh đưa ra giả thuyết công thức của X là CuSO4.5H2O. Để chứng minh giả thuyết nhóm học sinh tiến hành thí nghiệm sau:
• Bước 1: Cân chén nung và ghi lại khối lượng và kết quả là m gam.
• Bước 2: Thêm một lượng chất X (khô, có màu xanh) cho vào chén nung. Cân và ghi lại khối lượng mới của chén nung có chứa chất X là m2 gam.
• Bước 3: Đặt chén nung chứa chất X lên lưới amiăng và đun nóng đến nhiệt độ 250°C trong khoảng 2 phút.
• Bước 4: Để nguội, cân lại chén nung cùng chất rắn còn lại bên trong, ghi khối lượng và kết quả là m3 gam.
Tiếp tục nung và cân chén giống như bước 3 và bước 4 cho đến khi thấy khối lượng không thay đổi và kết quả thí nghiệm của nhóm học sinh được ghi vào bảng sau.
Giá trị
m1
m2
m3 lần 1
m3 lần 2
m3 lần 3
m3 lần 4
Khối lượng (gam)
30,00
55,00
51,4
47,8
46,0
46,0
Biết rằng, ở 250°C CuSO4.nH2O có thể bị mất nước hoàn toàn thành CuSO4 khan và ở 650°C thì CuSO4 mới bắt đầu phân hủy.
a. Từ kết quả thực nghiệm khẳng định giả thuyết của học sinh đưa ra là đúng.
b. Lần nung thứ 4 không thay đổi khối lượng vì vậy về mặt thực nghiệm ta không cần thực hiện lần nung thứ 4.
c. Nếu tăng thời gian mỗi lần nung lên 5 phút thì số lần nung và cân lặp lại như bước 3 và bước 4 sẽ giảm xuống.
d. Trong quá trình nung lần 1, lần 2 và lần 3 có sự bay hơi của nước, ở lần 4 không còn nước bay hơi.
PHẦN III. Câu trắc nghiệm trả lời ngắn.Thí sinh trả lời từ câu 23 đến câu 28.
Câu 1: Phân tích thành phần nguyên tố của X thấy X chứa 90,57% carbon về khối lượng. Tỉ khối hơi của X so với H2 nhỏ hơn 75. Từ X tổng hợp được diethylphtalate (DEP) dùng làm thuốc điều trị bệnh ghẻ và giảm triệu chứng sưng tấy ở vùng da bị côn trùng cắn,... theo sơ đồ sau:
Để sản xuất được 1 triệu tuýp thuốc mỡ có hàm lượng 7,6 gam DEP/tuýp thì cần m tấn chất X. Biết hiệu suất của toàn bộ quá trình tổng hợp diethylphtalate từ X là 60%. Giá trị của m bằng bao nhiêu? (Làm tròn kết quả đến hàng phần mười)
Câu 2: Trong sản xuất vôi bằng lò vôi thủ công, người ta sử dụng than đá để cung cấp nhiệt cho quá trình nung vôi. Biết khi đốt cháy 1 kg than tỏa ra 30.103 kJ và chỉ có 70% nhiệt tỏa ra khi đốt than được sử dụng cho phản ứng phân hủy CaCO3; nhiệt tạo thành chuẩn của CO2(g), CaO(s) và CaCO3(s) lần lượt là -394 kJ/mol, -635 kJ/mol, -1207 kJ/mol. Để sản xuất được 15 tấn vôi sống thì cần sử dụng bao nhiêu tấn than đá loại? (Làm tròn kết quả đến hàng phần trăm)
Câu 3: Các bộ dụng cụ đã sử dụng tương ứng với các bước khi tiến hành tinh chế chất hữu cơ X bằng phương pháp kết tinh được cho ở các hình dưới đây:
Sắp xếp số thứ tự các hình vẽ theo đúng trình tự thực hiện quy trình kết tinh.
Câu 4: Rutin từ hoa hòe có tác dụng chữa một số bệnh và dưỡng da. Ngoài ra rutin còn là nguyên liệu để sản xuất quercetin dùng làm thuốc đều trị các bệnh về tim mạch, tiểu đường, gout… Phân tử rutin được tạo từ các đơn vị phenol, carbohydrate và công thức cấu tạo của rutin được cho ở hình sau:
Cho các phát biểu về rutin:
1) Rutin thuộc loại hợp chất hữu cơ tạp chức.
2) Trong phân tử rutin có chứa hai đơn vị glucose.
3) Rutin là chất rắn, tan trong dung dịch kiềm tốt hơn trong nước.
4) Rutin bị thủy phân trong môi trường acid, đun nóng.
Liệt kê các phát biểu đúng thành dãy số từ nhỏ đến lớn.
Câu 5: Trong công nghiệp, H2SO4 được sản xuất từ quặng pyrite (chứa FeS2) theo sơ đồ:
FeS2 → SO2 → SO3 → H2SO4.nSO3 → H2SO4.
Trong các phản ứng theo sơ đồ trên, có bao nhiêu phản ứng oxi hóa khử?
Câu 6: Để mạ đồng lên một huy chương làm từ sắt có tổng diện tích bề mặt là 20 cm2 với lớp mạ có độ dày đồng nhất 0,1 mm người ta tiến hành điện phân dung dịch CuSO4 với cực âm là huy chương cần mạ và cực dương là lá đồng thô. Biết cường độ dòng điện không đổi là 2 A, hiệu suất điện phân là 90%, khối lượng riêng của tinh thể Cu là 8,94 g/cm3 và khối lượng đồng tạo ra được tính theo công thức Faraday là m = AIt/nF (với A là nguyên tử khối của Cu; I là cường độ dòng điện, F là hằng số Faraday = 96485 C/mol, n là số electron mà 1 ion Cu2+ nhận để tạo ra Cu, t là thời gian điện phân tính bằng giây). Thời gian điện phân tối thiểu để mạ một huy chương đạt tiêu chuẩn trên là bao nhiêu phút? (Làm tròn kết quả đến hàng đơn vị)